Ansys Fluent による解析例
熱流体解析ソフトAnsys Fluentによる流体解析事例をご紹介します。様々な産業分野での活用事例をご覧いただけます。
流体解析による課題解決に関するお問い合わせはこちら
コンクリート充填
コンクリート構造物を建設する場合、効率よく正確にコンクリートを充填することが重要になってきます。コンクリートの施工不良の例としてコンクリート表面の豆板、内部空洞などが挙げられます。このような不良箇所は、構造物の強度の低下、耐久性の劣化の原因になり、また美観が損なわることもあります。
キーワード:乱流、非ニュートン流体、温度、UDF(ユーザー定義関数)
コンクリート充填シミュレーション
ガス燃焼炉
多成分のガスの燃焼反応をFluentにて検討することができます。熱や輻射モデルなどを考慮することで燃焼炉内の挙動を把握できます。
キーワード:物性、乱流、燃焼炉、化学反応、反応プロセス、粒子追跡、温度
熱交換器内の流れ計算
熱交換器には多管式のシェル(円筒)と多数のチューブから成る熱交換器やフィンチューブ式、プレート式など様々な種類があります。作例はシェルチューブ式熱交換器内部の流れを計算したものです。Fluentでは流体の温度に伴う浮力効果を考慮し、流れの様子を調べることもできます。
キーワード:乱流、熱交換器、フィン、温度分布、伝熱、輻射、化学プロセス
塗装液膜の挙動
鉛直の壁面にスプレーで液滴を吹き付けて形成される塗装液膜の挙動を計算したものです。Ansys FluentのDPM(Discrete Phase Model)を解析手法として用いております。塗液はエアブラスト噴霧器で噴射されており、中心から流出する高速の空気流れにより微粒化されています。中心軸を囲むリング状の境界からは旋回を伴う空気流を吹き出しており液滴は旋回しながら放出されます。塗装液は揮発成分(エタノール)を含んでおり、液滴の気化に伴い温度が変化するため、流れ場に加えて温度と化学種濃度を同時に計算しています。
キーワード:塗装液膜、粒子追跡、DPM(Discrete Phase Model)、温度分布、液滴、VOC、スプレーガン
シリンジ内の自由表面挙動
「円管のテーパ部分を覆うように液体(水)を注入したあとの、液面の動き」を検討しました。左右の直径比率は1:2で管壁は疎水的、接触角は150度としています。左右の管の部分にできる(静的な)液面は球面の一部になり、右の曲率半径は直径の比率に相当して1:2になります。結果は、液の左右に圧力差が生じて液は右側に駆動されます。テーパ部分を乗り越えて液全体が右側の管に移ったところで駆動力は消滅しますが、慣性によって動き続けるので最終的にテーパから右側に外れたところで粘性散逸によって静止します。なお、管壁が親水的で接触角が30度であれば液表面は凹になるので逆向きに駆動されます。
キーワード:自由表面、VOF、接触角、体積分率、圧力分布、駆動力、マイクロフルイディクス
シリンジ内の自由表面挙動
スラッジの沈降計算
スラッジ(汚泥)は、工場などのプラント設備の廃液処理や自治体の汚水処理施設などの工程で生成されます。ここではAnsys Fluentを用いてスラッジの沈降をシミュレーションしました。(底部からスラッジを抜く設定としています。)なおスラッジは、リサイクルの観点から肥料やバイオマス燃料の一種としてリサイクルされることもございます。
キーワード:スラッジ、汚泥、廃液処理
飛沫の挙動
部屋のドアを閉じた状態と、開放した状態での飛沫の挙動を示しています。換気のためにドアを開放することは、飛沫を外部に排出させる効果があり感染症対策に効果的と考えられています。
ドア閉鎖時
ドア開放時
撹拌タンク内の流れ
タンク側面に4枚のバッフル板、底面付近に空気を吹き込むためのリング状のスパージャがある。回転シャフトには、rushton翼(ディスクタービン翼)、およびパドル翼が取り付けられている。空気はスパージャから0.05 m/sで吐出する。スパージャ上の細孔は連続した帯としてモデル化している。空気は水と混合して小さな気泡になる。rushton翼は水-空気混合流体を均一に撹拌させるために使われる。パドル翼は気泡を分散させて上昇流れを起こすために使われる。これら2つのインペラーは450 rpmで回転している。解析領域の最上面は自由表面であり、ここから空気気泡が流出するとしてモデル化している。
キーワード:粘性、VOF(Volume of Fluid)、スパージャー、翼型、気泡攪拌、機械攪拌、薬品混合
攪拌槽のモデル
スパージャーからの空気注入を考慮
陶磁器類の熱輻射
熱輻射による加熱は、産業界において重要な処理過程になっています。熱輻射は高温度になるほどその効果が顕著になり、熱移動の媒体を必ずしも必要としません。今回は、円筒形の加熱炉内に物体を置いた場合にどのように放射強度および温度が変化して行くかを計算して見ました。計算に使用したモデルはDiscrete Ordinateモデルです。
キーワード:物性、熱輻射、非定常、放射
放射強度コンター
浄水場の流れ挙動
浄水場では設計の段階に、流れの挙動や塩素を投入した場合の濃度の広がりを事前確認し滞留が起こらないことを確認します。
キーワード:水理解析、定常、濃度分布
溶湯流れの不具合把握
鋳型の空隙部に溶湯を注入し、複雑な形状の金属製品を製造する技術は広く使われています。しかし、溶湯の流れは鋳型の内部で生じており、また高温であることから流れ場、温度場の詳細を把握するのは困難です。数値シミュレーションを使うことにより溶湯流れの不具合(湯回り不良など)の原因を把握することができるようになります。ここでは鋳型内部における溶湯の流動状態、温度分布を数値解析モデルを使いシミュレーションした例を示します。
ヘリカルな管の内部流れ速度分布
流体機械や化学反応機器などで曲がり管は幅広く利用されています。管の内部での流速分布の遠心力などによる偏りは、ヘリカルな管の設計検討に重要な要素と考えられ、ヘリカルな管を組み込んだ装置全体の性能にも必要な検討材料です。
キーワード:ヘリカル管、内部流れ、偏心
水素漏洩・拡散挙動
水素は、利用時にCO2を排出しないクリーンなエネルギー源として期待され、燃料電池や事業用発電燃料として注目されています。しかし水素は、一定条件下で爆発する危険性があり安全対策が重要です。開放された空間では多少の漏洩が生じても燃焼・爆発の危険は小さいのですが、密閉された建物やトンネルあるいは地下駐車場などでは、水素の漏洩と滞留の防止を評価することが重要ですが設備毎に実験で確認することは安全・コスト面からも困難であり、CFDの活用が有効な方法になります。このため本事例では、実際に水素を用いた拡散・集積実験として代表的なHallwayモデルといわれる部分開放空間への水素漏洩のシミュレーションを実施しています。
キーワード:物性、乱流、水素、拡散、漏洩、Hallwayモデル
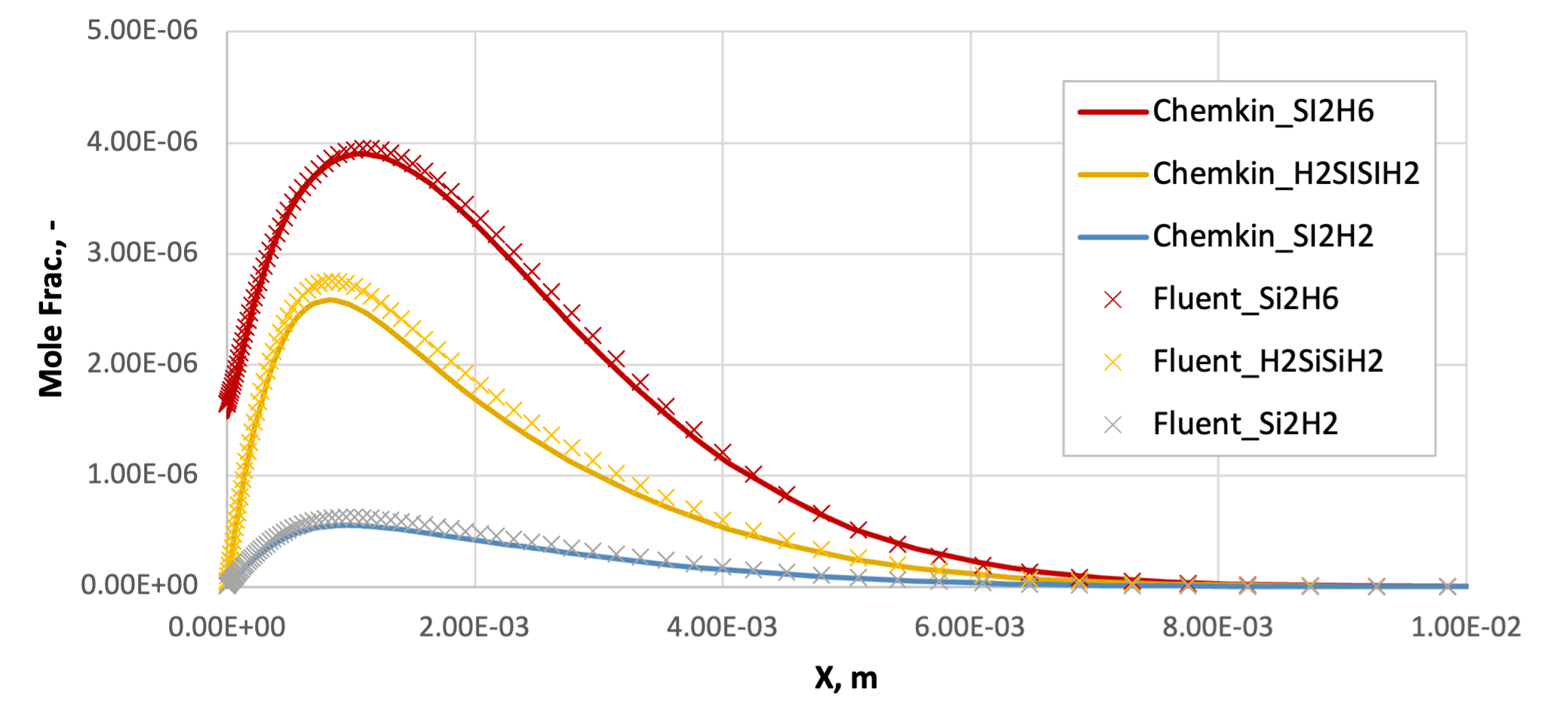
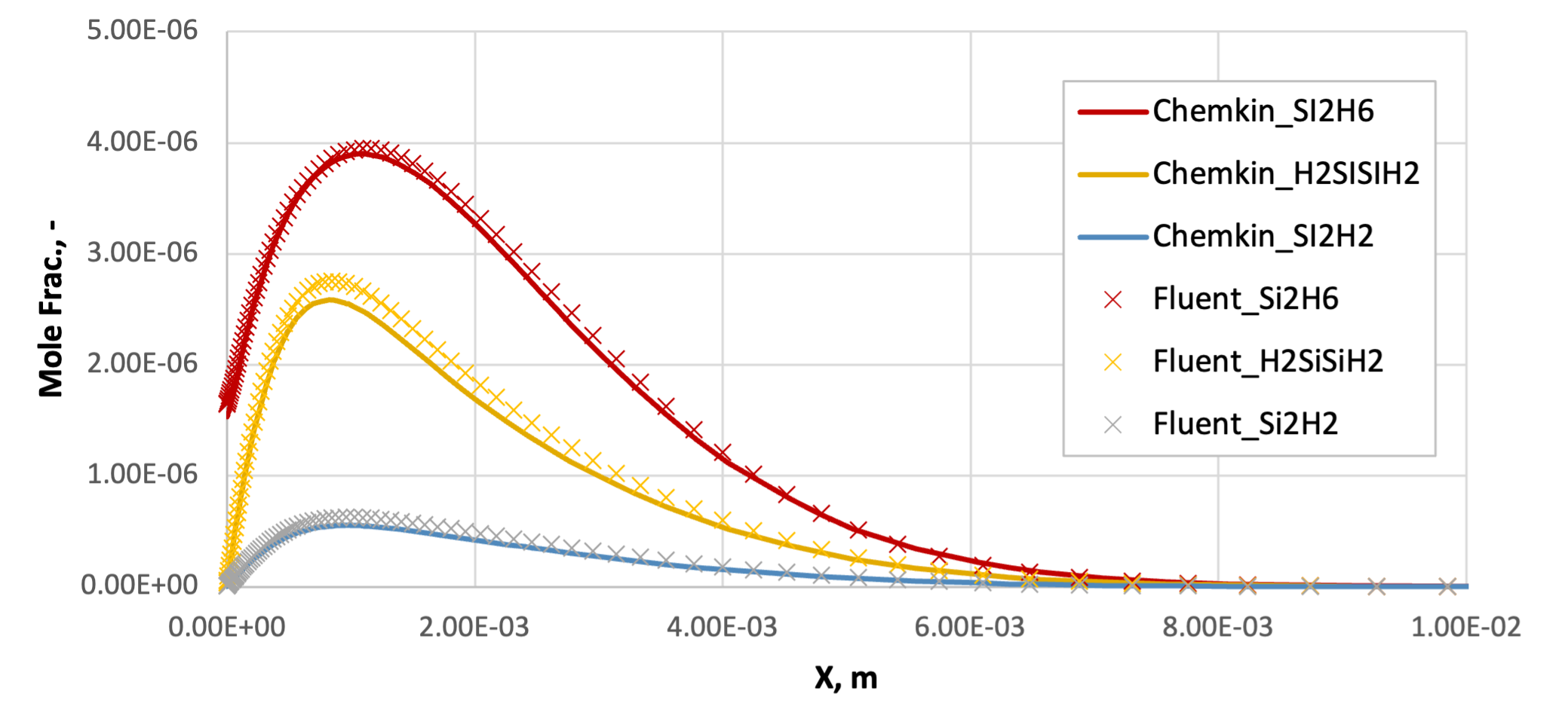
回転ディスクCVD
Ansys製品の中にはFluentとChemkin-Proがあります。両者とも化学反応を取り扱うことができます。Fluentは3次元まで解析することができるので、詳細な検討を行うことができます。一方で、Chemkin-Proは1次元の簡易解析をすることができるので、パラメータスタディなどを速く実行することができます。今回はベンチマーク問題としてよく知られている、Kleijnらの回転ディスクCVD問題で、FluentとChemkin-Proの結果を比較してみたいと思います。
キーワード:Ansys Fluent、Ansys Chemkin-Pro、化学反応、CVD問題
流体解析ソフト お問い合わせ
流体解析ソフトの詳細、そのほかご相談・ご質問、技術的なご質問、お見積り依頼(年度内※急ぎ、来年度予算)など、お気軽にお問合せください。また、解析する目的が明確な方に限らず、漠然と「こういう解析がしたい」と思っている方でも、解析担当者がご相談に応じます。













